pymovements in 10 minutes#

What you will learn in this tutorial:#

  • how to download one of the publicly available datasets

  • how to load a subset of the data into your memory

  • how to transform pixel coordinates into degrees of visual angle

  • how to transform positional data into velocity data

  • how to detect fixations by using the I-VT algorithm

  • how to detect saccades by using the microsaccades algorithm

  • how to compute additional event properties for your analysis

  • how to save your preprocessed data

  • how to plot the main saccadic sequence from your data

Downloading one of the public datasets#

We import pymovements as the alias pm for convenience.

import polars as pl

import pymovements as pm

pymovements provides a library of publicly available datasets.

You can browse through the available dataset definitions here: Dataset

For this tutorial we will limit ourselves to the ToyDataset due to its minimal space requirements.

Other datasets can be downloaded by simply replacing ToyDataset with one of the other available datasets.

We can initialize and download by passing the desired dataset name as a string argument.

Additionally, we need the root directory path of your data.

dataset = pm.Dataset('ToyDataset', path='data/ToyDataset')
dataset.download()
INFO:pymovements.dataset.dataset:
        You are downloading the pymovements Toy Dataset. Please be aware that pymovements does not
        host or distribute any dataset resources and only provides a convenient interface to
        download the public dataset resources that were published by their respective authors.

        Please cite the referenced publication if you intend to use the dataset in your research.
        
Downloading https://github.com/pymovements/pymovements-toy-dataset/archive/refs/heads/main.zip to data/ToyDataset/downloads/pymovements-toy-dataset.zip
Checking integrity of pymovements-toy-dataset.zip
Extracting pymovements-toy-dataset.zip to data/ToyDataset/raw
Extracting archive:   0%|          | 0/23 [00:00<?, ?file/s]
Extracting archive: 100%|██████████| 23/23 [00:00<00:00, 312.43file/s]

Dataset
  • DatasetDefinition
    DatasetDefinition
    • None
      None
    • None
      None
    • None
      None
    • None
      None
    • Experiment
      Experiment
      • EyeTracker
        EyeTracker
        • None
          None
        • None
          None
        • None
          None
        • None
          None
        • 1000
          1000
        • None
          None
        • None
          None
      • 1000
        1000
      • Screen
        Screen
        • 68
          68
        • 30.2
          30.2
        • 1024
          1024
        • 'upper left'
          'upper left'
        • 38
          38
        • 1280
          1280
        • 15.599386487782953
          15.599386487782953
        • -15.599386487782953
          -15.599386487782953
        • 12.508044410882546
          12.508044410882546
        • -12.508044410882546
          -12.508044410882546
    • None
      None
    • dict (1 items)
      • 'trial_{text_id:d}_{page_id:d}.csv'
        'trial_{text_id:d}_{page_id:d}.csv'
    • dict (1 items)
      • dict (2 items)
        • <class 'int'>
          <class 'int'>
        • <class 'int'>
          <class 'int'>
    • True
      True
    • 'pymovements Toy Dataset'
      'pymovements Toy Dataset'
    • dict (0 items)
      • 'ToyDataset'
        'ToyDataset'
      • None
        None
      • None
        None
      • list (1 items)
        • ResourceDefinition
          • 'gaze'
            'gaze'
          • 'pymovements-toy-dataset.zip'
            'pymovements-toy-dataset.zip'
          • 'trial_{text_id:d}_{page_id:d}.csv'
            'trial_{text_id:d}_{page_id:d}.csv'
          • dict (2 items)
            • <class 'int'>
              <class 'int'>
            • <class 'int'>
              <class 'int'>
          • None
            None
          • dict (4 items)
            • 'timestamp'
              'timestamp'
            • 'ms'
              'ms'
            • (2 more)
          • '256901852c1c07581d375eef705855d6'
            '256901852c1c07581d375eef705855d6'
          • None
            None
          • str
            'https://github.com/pymovements/pymovements-toy-dataset/archive/refs/heads/main.zip'
      • None
        None
      • None
        None
      • None
        None
      • None
        None
    • tuple (0 items)
      • DataFrame (0 columns, 0 rows)
        shape: (0, 0)
      • list (0 items)
        • PosixPath('data/ToyDataset')
          PosixPath('data/ToyDataset')
        • DatasetPaths
          DatasetPaths
          • PosixPath('data/ToyDataset')
            PosixPath('data/ToyDataset')
          • PosixPath('data/ToyDataset/downloads')
            PosixPath('data/ToyDataset/downloads')
          • PosixPath('data/ToyDataset/events')
            PosixPath('data/ToyDataset/events')
          • PosixPath('data/ToyDataset/precomputed_events')
            PosixPath('data/ToyDataset/precomputed_events')
          • PosixPath
            PosixPath('data/ToyDataset/precomputed_reading_measures')
          • PosixPath('data/ToyDataset/preprocessed')
            PosixPath('data/ToyDataset/preprocessed')
          • PosixPath('data/ToyDataset/raw')
            PosixPath('data/ToyDataset/raw')
          • PosixPath('data/ToyDataset')
            PosixPath('data/ToyDataset')
        • list (0 items)
          • list (0 items)

            Our downloaded dataset will be placed in a new directory with the name of the dataset:

            dataset.path
            
            PosixPath('data/ToyDataset')
            

            Archive files are automatically extracted into the path specified by Dataset.paths.raw:

            dataset.paths.raw
            
            PosixPath('data/ToyDataset/raw')
            

            Loading in your data into memory#

            Next, we load our dataset into memory to be able to work with it:

            dataset.load()
            
            Dataset
            • DatasetDefinition
              DatasetDefinition
              • None
                None
              • None
                None
              • None
                None
              • None
                None
              • Experiment
                Experiment
                • EyeTracker
                  EyeTracker
                  • None
                    None
                  • None
                    None
                  • None
                    None
                  • None
                    None
                  • 1000
                    1000
                  • None
                    None
                  • None
                    None
                • 1000
                  1000
                • Screen
                  Screen
                  • 68
                    68
                  • 30.2
                    30.2
                  • 1024
                    1024
                  • 'upper left'
                    'upper left'
                  • 38
                    38
                  • 1280
                    1280
                  • 15.599386487782953
                    15.599386487782953
                  • -15.599386487782953
                    -15.599386487782953
                  • 12.508044410882546
                    12.508044410882546
                  • -12.508044410882546
                    -12.508044410882546
              • None
                None
              • dict (1 items)
                • 'trial_{text_id:d}_{page_id:d}.csv'
                  'trial_{text_id:d}_{page_id:d}.csv'
              • dict (1 items)
                • dict (2 items)
                  • <class 'int'>
                    <class 'int'>
                  • <class 'int'>
                    <class 'int'>
              • True
                True
              • 'pymovements Toy Dataset'
                'pymovements Toy Dataset'
              • dict (0 items)
                • 'ToyDataset'
                  'ToyDataset'
                • None
                  None
                • None
                  None
                • list (1 items)
                  • ResourceDefinition
                    • 'gaze'
                      'gaze'
                    • 'pymovements-toy-dataset.zip'
                      'pymovements-toy-dataset.zip'
                    • 'trial_{text_id:d}_{page_id:d}.csv'
                      'trial_{text_id:d}_{page_id:d}.csv'
                    • dict (2 items)
                      • <class 'int'>
                        <class 'int'>
                      • <class 'int'>
                        <class 'int'>
                    • None
                      None
                    • dict (4 items)
                      • 'timestamp'
                        'timestamp'
                      • 'ms'
                        'ms'
                      • (2 more)
                    • '256901852c1c07581d375eef705855d6'
                      '256901852c1c07581d375eef705855d6'
                    • None
                      None
                    • str
                      'https://github.com/pymovements/pymovements-toy-dataset/archive/refs/heads/main.zip'
                • None
                  None
                • None
                  None
                • None
                  None
                • None
                  None
              • tuple (20 items)
                • Events
                  • DataFrame (4 columns, 0 rows)
                    shape: (0, 4)
                    nameonsetoffsetduration
                    stri64i64i64
                  • None
                    None
                • Events
                  • DataFrame (4 columns, 0 rows)
                    shape: (0, 4)
                    nameonsetoffsetduration
                    stri64i64i64
                  • None
                    None
                • (18 more)
              • dict (1 items)
                • DataFrame (3 columns, 20 rows)
                  shape: (20, 3)
                  text_idpage_idfilepath
                  i64i64str
                  01"pymovements-toy-dataset-main/d…
                  02"pymovements-toy-dataset-main/d…
                  03"pymovements-toy-dataset-main/d…
                  04"pymovements-toy-dataset-main/d…
                  05"pymovements-toy-dataset-main/d…
                  31"pymovements-toy-dataset-main/d…
                  32"pymovements-toy-dataset-main/d…
                  33"pymovements-toy-dataset-main/d…
                  34"pymovements-toy-dataset-main/d…
                  35"pymovements-toy-dataset-main/d…
              • list (20 items)
                • Gaze
                  • DataFrame (4 columns, 17223 rows)
                    shape: (17_223, 4)
                    timestimuli_xstimuli_ypixel
                    i64f64f64list[f64]
                    1988145-1.0-1.0[206.8, 152.4]
                    1988146-1.0-1.0[206.9, 152.1]
                    1988147-1.0-1.0[207.0, 151.8]
                    1988148-1.0-1.0[207.1, 151.7]
                    1988149-1.0-1.0[207.0, 151.5]
                    2005363-1.0-1.0[361.0, 415.4]
                    2005364-1.0-1.0[358.0, 414.5]
                    2005365-1.0-1.0[355.8, 413.8]
                    2005366-1.0-1.0[353.1, 413.2]
                    2005367-1.0-1.0[351.2, 412.9]
                  • Events
                    Events
                    • DataFrame (4 columns, 0 rows)
                      shape: (0, 4)
                      nameonsetoffsetduration
                      stri64i64i64
                    • None
                      None
                  • None
                    None
                  • Experiment
                    Experiment
                    • EyeTracker
                      EyeTracker
                      • None
                        None
                      • None
                        None
                      • None
                        None
                      • None
                        None
                      • 1000
                        1000
                      • None
                        None
                      • None
                        None
                    • 1000
                      1000
                    • Screen
                      Screen
                      • 68
                        68
                      • 30.2
                        30.2
                      • 1024
                        1024
                      • 'upper left'
                        'upper left'
                      • 38
                        38
                      • 1280
                        1280
                      • 15.599386487782953
                        15.599386487782953
                      • -15.599386487782953
                        -15.599386487782953
                      • 12.508044410882546
                        12.508044410882546
                      • -12.508044410882546
                        -12.508044410882546
                • Gaze
                  • DataFrame (4 columns, 29799 rows)
                    shape: (29_799, 4)
                    timestimuli_xstimuli_ypixel
                    i64f64f64list[f64]
                    2008305-1.0-1.0[141.4, 153.6]
                    2008306-1.0-1.0[141.1, 153.2]
                    2008307-1.0-1.0[140.7, 152.8]
                    2008308-1.0-1.0[140.6, 152.7]
                    2008309-1.0-1.0[140.5, 152.6]
                    2038099-1.0-1.0[273.8, 773.8]
                    2038100-1.0-1.0[273.8, 774.1]
                    2038101-1.0-1.0[273.9, 774.5]
                    2038102-1.0-1.0[274.0, 774.4]
                    2038103-1.0-1.0[274.0, 773.9]
                  • Events
                    Events
                    • DataFrame (4 columns, 0 rows)
                      shape: (0, 4)
                      nameonsetoffsetduration
                      stri64i64i64
                    • None
                      None
                  • None
                    None
                  • Experiment
                    Experiment
                    • EyeTracker
                      EyeTracker
                      • None
                        None
                      • None
                        None
                      • None
                        None
                      • None
                        None
                      • 1000
                        1000
                      • None
                        None
                      • None
                        None
                    • 1000
                      1000
                    • Screen
                      Screen
                      • 68
                        68
                      • 30.2
                        30.2
                      • 1024
                        1024
                      • 'upper left'
                        'upper left'
                      • 38
                        38
                      • 1280
                        1280
                      • 15.599386487782953
                        15.599386487782953
                      • -15.599386487782953
                        -15.599386487782953
                      • 12.508044410882546
                        12.508044410882546
                      • -12.508044410882546
                        -12.508044410882546
                • (18 more)
              • PosixPath('data/ToyDataset')
                PosixPath('data/ToyDataset')
              • DatasetPaths
                DatasetPaths
                • PosixPath('data/ToyDataset')
                  PosixPath('data/ToyDataset')
                • PosixPath('data/ToyDataset/downloads')
                  PosixPath('data/ToyDataset/downloads')
                • PosixPath('data/ToyDataset/events')
                  PosixPath('data/ToyDataset/events')
                • PosixPath('data/ToyDataset/precomputed_events')
                  PosixPath('data/ToyDataset/precomputed_events')
                • PosixPath
                  PosixPath('data/ToyDataset/precomputed_reading_measures')
                • PosixPath('data/ToyDataset/preprocessed')
                  PosixPath('data/ToyDataset/preprocessed')
                • PosixPath('data/ToyDataset/raw')
                  PosixPath('data/ToyDataset/raw')
                • PosixPath('data/ToyDataset')
                  PosixPath('data/ToyDataset')
              • list (0 items)
                • list (0 items)

                  This way we fill two attributes with data. First we have the fileinfo attribute which holds all the basic information for files:

                  dataset.fileinfo['gaze'].head()
                  
                  shape: (5, 3)
                  text_idpage_idfilepath
                  i64i64str
                  01"pymovements-toy-dataset-main/d…
                  02"pymovements-toy-dataset-main/d…
                  03"pymovements-toy-dataset-main/d…
                  04"pymovements-toy-dataset-main/d…
                  05"pymovements-toy-dataset-main/d…

                  We notice that for each filepath a text_id and page_id is specified.

                  We have also loaded our gaze data into the dataframes in the gaze attribute:

                  dataset.gaze[0]
                  
                  Gaze
                  • DataFrame (4 columns, 17223 rows)
                    shape: (17_223, 4)
                    timestimuli_xstimuli_ypixel
                    i64f64f64list[f64]
                    1988145-1.0-1.0[206.8, 152.4]
                    1988146-1.0-1.0[206.9, 152.1]
                    1988147-1.0-1.0[207.0, 151.8]
                    1988148-1.0-1.0[207.1, 151.7]
                    1988149-1.0-1.0[207.0, 151.5]
                    2005363-1.0-1.0[361.0, 415.4]
                    2005364-1.0-1.0[358.0, 414.5]
                    2005365-1.0-1.0[355.8, 413.8]
                    2005366-1.0-1.0[353.1, 413.2]
                    2005367-1.0-1.0[351.2, 412.9]
                  • Events
                    Events
                    • DataFrame (4 columns, 0 rows)
                      shape: (0, 4)
                      nameonsetoffsetduration
                      stri64i64i64
                    • None
                      None
                  • None
                    None
                  • Experiment
                    Experiment
                    • EyeTracker
                      EyeTracker
                      • None
                        None
                      • None
                        None
                      • None
                        None
                      • None
                        None
                      • 1000
                        1000
                      • None
                        None
                      • None
                        None
                    • 1000
                      1000
                    • Screen
                      Screen
                      • 68
                        68
                      • 30.2
                        30.2
                      • 1024
                        1024
                      • 'upper left'
                        'upper left'
                      • 38
                        38
                      • 1280
                        1280
                      • 15.599386487782953
                        15.599386487782953
                      • -15.599386487782953
                        -15.599386487782953
                      • 12.508044410882546
                        12.508044410882546
                      • -12.508044410882546
                        -12.508044410882546

                  Apart from some trial identifier columns we see the columns time and pixel.

                  The last two columns refer to the pixel coordinates at the timestep specified by time.

                  We are also able to just take a subset of the data by specifying values of the fileinfo columns. The key refers to the column in the fileinfo dataframe. The values in the dictionary can be of type bool, int, float or str, but also lists and ranges

                  subset = {
                      'text_id': 0,
                      'page_id': [0, 1],
                  }
                  dataset.load(subset=subset)
                  
                  dataset.fileinfo
                  
                  {'gaze': shape: (1, 3)
                   ┌─────────┬─────────┬─────────────────────────────────┐
                   │ text_id ┆ page_id ┆ filepath                        │
                   │ ---     ┆ ---     ┆ ---                             │
                   │ i64     ┆ i64     ┆ str                             │
                   ╞═════════╪═════════╪═════════════════════════════════╡
                   │ 0       ┆ 1       ┆ pymovements-toy-dataset-main/d… │
                   └─────────┴─────────┴─────────────────────────────────┘}
                  

                  Now we selected only a small subset of our data.

                  Preprocessing raw gaze data#

                  We now want to preprocess our gaze data by transforming pixel coordinates into degrees of visual angle and then computing velocity data from our positional data.

                  dataset.pix2deg()
                  
                  dataset.gaze[0]
                  
                  Gaze
                  • DataFrame (5 columns, 17223 rows)
                    shape: (17_223, 5)
                    timestimuli_xstimuli_ypixelposition
                    i64f64f64list[f64]list[f64]
                    1988145-1.0-1.0[206.8, 152.4][-10.697598, -8.852399]
                    1988146-1.0-1.0[206.9, 152.1][-10.695183, -8.859678]
                    1988147-1.0-1.0[207.0, 151.8][-10.692768, -8.866956]
                    1988148-1.0-1.0[207.1, 151.7][-10.690352, -8.869381]
                    1988149-1.0-1.0[207.0, 151.5][-10.692768, -8.874233]
                    2005363-1.0-1.0[361.0, 415.4][-6.932438, -2.386672]
                    2005364-1.0-1.0[358.0, 414.5][-7.006376, -2.408998]
                    2005365-1.0-1.0[355.8, 413.8][-7.060582, -2.426362]
                    2005366-1.0-1.0[353.1, 413.2][-7.12709, -2.441245]
                    2005367-1.0-1.0[351.2, 412.9][-7.173881, -2.448686]
                  • Events
                    Events
                    • DataFrame (4 columns, 0 rows)
                      shape: (0, 4)
                      nameonsetoffsetduration
                      stri64i64i64
                    • None
                      None
                  • None
                    None
                  • Experiment
                    Experiment
                    • EyeTracker
                      EyeTracker
                      • None
                        None
                      • None
                        None
                      • None
                        None
                      • None
                        None
                      • 1000
                        1000
                      • None
                        None
                      • None
                        None
                    • 1000
                      1000
                    • Screen
                      Screen
                      • 68
                        68
                      • 30.2
                        30.2
                      • 1024
                        1024
                      • 'upper left'
                        'upper left'
                      • 38
                        38
                      • 1280
                        1280
                      • 15.599386487782953
                        15.599386487782953
                      • -15.599386487782953
                        -15.599386487782953
                      • 12.508044410882546
                        12.508044410882546
                      • -12.508044410882546
                        -12.508044410882546

                  We notice that a new column has appeared: position. This column specifies the position coordinates in degrees of visual angle (dva).

                  For transforming our positional data into velocity data, we will use the Savitzky-Golay differentiation filter.

                  We can also specify some additional parameters for this method:

                  dataset.pos2vel(method='savitzky_golay', degree=2, window_length=7)
                  
                  dataset.gaze[0]
                  
                  Gaze
                  • DataFrame (6 columns, 17223 rows)
                    shape: (17_223, 6)
                    timestimuli_xstimuli_ypixelpositionvelocity
                    i64f64f64list[f64]list[f64]list[f64]
                    1988145-1.0-1.0[206.8, 152.4][-10.697598, -8.852399][1.207641, -3.119165]
                    1988146-1.0-1.0[206.9, 152.1][-10.695183, -8.859678][1.20764, -4.072198]
                    1988147-1.0-1.0[207.0, 151.8][-10.692768, -8.866956][1.035119, -4.765267]
                    1988148-1.0-1.0[207.1, 151.7][-10.690352, -8.869381][1.207654, -4.245382]
                    1988149-1.0-1.0[207.0, 151.5][-10.692768, -8.874233][1.552735, -2.339263]
                    2005363-1.0-1.0[361.0, 415.4][-6.932438, -2.386672][-62.062479, -20.465552]
                    2005364-1.0-1.0[358.0, 414.5][-7.006376, -2.408998][-61.343786, -18.073031]
                    2005365-1.0-1.0[355.8, 413.8][-7.060582, -2.426362][-53.501231, -14.617634]
                    2005366-1.0-1.0[353.1, 413.2][-7.12709, -2.441245][-41.879965, -10.276475]
                    2005367-1.0-1.0[351.2, 412.9][-7.173881, -2.448686][-27.710881, -6.112645]
                  • Events
                    Events
                    • DataFrame (4 columns, 0 rows)
                      shape: (0, 4)
                      nameonsetoffsetduration
                      stri64i64i64
                    • None
                      None
                  • None
                    None
                  • Experiment
                    Experiment
                    • EyeTracker
                      EyeTracker
                      • None
                        None
                      • None
                        None
                      • None
                        None
                      • None
                        None
                      • 1000
                        1000
                      • None
                        None
                      • None
                        None
                    • 1000
                      1000
                    • Screen
                      Screen
                      • 68
                        68
                      • 30.2
                        30.2
                      • 1024
                        1024
                      • 'upper left'
                        'upper left'
                      • 38
                        38
                      • 1280
                        1280
                      • 15.599386487782953
                        15.599386487782953
                      • -15.599386487782953
                        -15.599386487782953
                      • 12.508044410882546
                        12.508044410882546
                      • -12.508044410882546
                        -12.508044410882546

                  There is also the more general apply() method, which can be used to apply both transformation and event detection methods.

                  dataset.apply('pos2acc', degree=2, window_length=7)
                  
                  dataset.gaze[0]
                  
                  Gaze
                  • DataFrame (7 columns, 17223 rows)
                    shape: (17_223, 7)
                    timestimuli_xstimuli_ypixelpositionvelocityacceleration
                    i64f64f64list[f64]list[f64]list[f64]list[f64]
                    1988145-1.0-1.0[206.8, 152.4][-10.697598, -8.852399][1.207641, -3.119165][690.085837, -1501.799767]
                    1988146-1.0-1.0[206.9, 152.1][-10.695183, -8.859678][1.20764, -4.072198][0.001831, -866.371365]
                    1988147-1.0-1.0[207.0, 151.8][-10.692768, -8.866956][1.035119, -4.765267][-575.06741, -57.655244]
                    1988148-1.0-1.0[207.1, 151.7][-10.690352, -8.869381][1.207654, -4.245382][-230.013049, 1328.57081]
                    1988149-1.0-1.0[207.0, 151.5][-10.692768, -8.874233][1.552735, -2.339263][690.12611, 2021.586565]
                    2005363-1.0-1.0[361.0, 415.4][-6.932438, -2.386672][-62.062479, -20.465552][-1099.087619, 1477.17518]
                    2005364-1.0-1.0[358.0, 414.5][-7.006376, -2.408998][-61.343786, -18.073031][1834.348384, 2599.156806]
                    2005365-1.0-1.0[355.8, 413.8][-7.060582, -2.426362][-53.501231, -14.617634][9396.15507, 4547.960553]
                    2005366-1.0-1.0[353.1, 413.2][-7.12709, -2.441245][-41.879965, -10.276475][16194.183852, 5079.286997]
                    2005367-1.0-1.0[351.2, 412.9][-7.173881, -2.448686][-27.710881, -6.112645][16598.914618, 4193.246498]
                  • Events
                    Events
                    • DataFrame (4 columns, 0 rows)
                      shape: (0, 4)
                      nameonsetoffsetduration
                      stri64i64i64
                    • None
                      None
                  • None
                    None
                  • Experiment
                    Experiment
                    • EyeTracker
                      EyeTracker
                      • None
                        None
                      • None
                        None
                      • None
                        None
                      • None
                        None
                      • 1000
                        1000
                      • None
                        None
                      • None
                        None
                    • 1000
                      1000
                    • Screen
                      Screen
                      • 68
                        68
                      • 30.2
                        30.2
                      • 1024
                        1024
                      • 'upper left'
                        'upper left'
                      • 38
                        38
                      • 1280
                        1280
                      • 15.599386487782953
                        15.599386487782953
                      • -15.599386487782953
                        -15.599386487782953
                      • 12.508044410882546
                        12.508044410882546
                      • -12.508044410882546
                        -12.508044410882546

                  Detecting events#

                  Now let’s detect some events.

                  First, we will detect fixations using the I-VT algorithm using its default parameters:

                  dataset.detect_events('ivt')
                  
                  dataset.events[0]
                  
                  Events
                  • DataFrame (4 columns, 72 rows)
                    shape: (72, 4)
                    nameonsetoffsetduration
                    stri64i64i64
                    "fixation"19881451988322177
                    "fixation"19883511988546195
                    "fixation"19885921988736144
                    "fixation"19887881989012224
                    "fixation"19890441989170126
                    "fixation"20041142004349235
                    "fixation"20043992004687288
                    "fixation"20047142004878164
                    "fixation"20049302005109179
                    "fixation"20051382005286148
                  • None
                    None

                  Next we detect some saccades. This time we don’t use the default parameters but specify our own:

                  dataset.detect_events('microsaccades', minimum_duration=8)
                  
                  dataset.events[0].frame.filter(pl.col('name') == 'saccade').head()
                  
                  shape: (5, 4)
                  nameonsetoffsetduration
                  stri64i64i64
                  "saccade"1988323198833714
                  "saccade"1988341198835110
                  "saccade"1988546198856721
                  "saccade"1988570198858313
                  "saccade"1988736198876024

                  We can also use the more general interface of the apply() method:

                  dataset.apply('idt', dispersion_threshold=2.7, name='fixation.ivt')
                  
                  dataset.events[0].frame.filter(pl.col('name') == 'fixation.ivt').head()
                  
                  shape: (5, 4)
                  nameonsetoffsetduration
                  stri64i64i64
                  "fixation.ivt"19881451988563418
                  "fixation.ivt"19885641988750186
                  "fixation.ivt"19887511989178427
                  "fixation.ivt"19891791989436257
                  "fixation.ivt"19894371989600163

                  Computing event properties#

                  The event dataframe currently only holds the name, onset, offset and duration of an event (additionally we have some more identifier columns at the beginning).

                  We now want to compute some additional properties for each event. Event properties are things like peak velocity, amplitude and dispersion during an event.

                  We start out with computing the dispersion:

                  dataset.compute_event_properties("dispersion")
                  
                  dataset.events[0]
                  
                  Events
                  • DataFrame (5 columns, 264 rows)
                    shape: (264, 5)
                    nameonsetoffsetdurationdispersion
                    stri64i64i64f64
                    "fixation"198814519883221770.154958
                    "fixation"198835119885461950.291833
                    "fixation"198859219887361440.296297
                    "fixation"198878819890122240.271854
                    "fixation"198904419891701260.349
                    "fixation.ivt"200392920040901612.814851
                    "fixation.ivt"200409120043632722.819008
                    "fixation.ivt"200436420048835192.768099
                    "fixation.ivt"200488520051162312.805674
                    "fixation.ivt"200511720052981812.744494
                  • None
                    None

                  We notice that a new column with the name dispersion has appeared in the event dataframe.

                  We can also pass a list of properties to compute all of our desired properties in a single run. Let’s add the amplitude and peak velocity:

                  dataset.compute_event_properties(["amplitude", "peak_velocity"])
                  
                  dataset.events[0]
                  
                  Events
                  • DataFrame (7 columns, 264 rows)
                    shape: (264, 7)
                    nameonsetoffsetdurationdispersionamplitudepeak_velocity
                    stri64i64i64f64f64f64
                    "fixation"198814519883221770.1549580.11007416.24151
                    "fixation"198835119885461950.2918330.20639718.88542
                    "fixation"198859219887361440.2962970.20954617.690373
                    "fixation"198878819890122240.2718540.19271919.130211
                    "fixation"198904419891701260.3490.30436218.616167
                    "fixation.ivt"200392920040901612.8148512.527788212.117446
                    "fixation.ivt"200409120043632722.8190082.518967244.333244
                    "fixation.ivt"200436420048835192.7680992.46208194.527643
                    "fixation.ivt"200488520051162312.8056742.507902203.067333
                    "fixation.ivt"200511720052981812.7444942.578767329.741947
                  • None
                    None

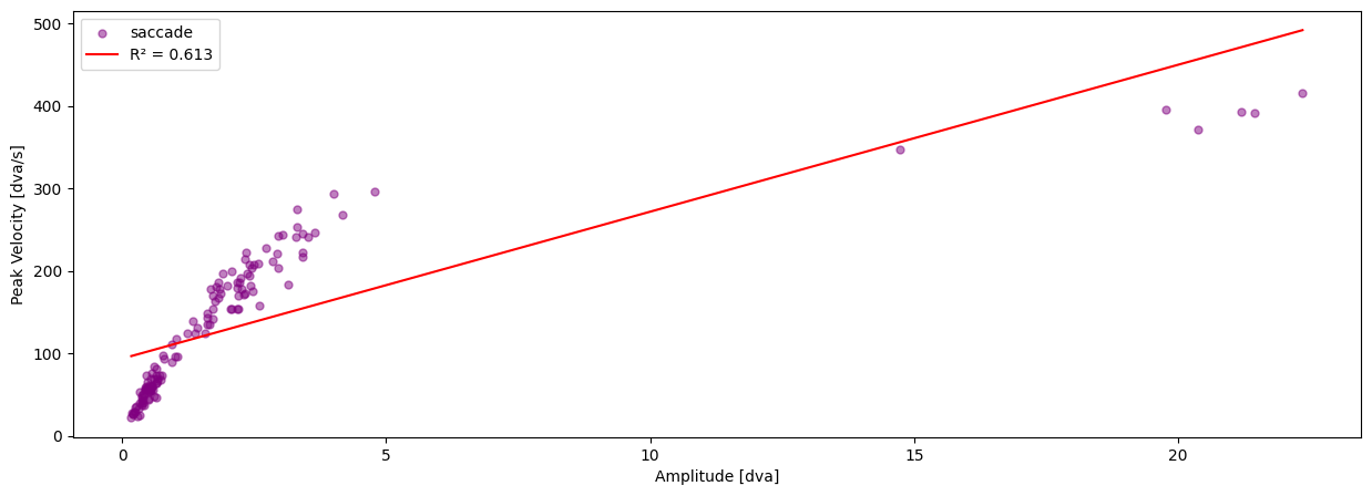
                  Plotting our data#

                  pymovements provides a range of plotting functions.

                  You can browse through the available plotting functions here: Plotting

                  In this tutorial we will plot the saccadic main sequence of our data.

                  pm.plotting.main_sequence_plot(dataset.events[0])
                  
                  ../_images/b0f0b4dffaa76ec7ed35ab67c21f060ce11ba2c344f8757e8cc64efb7d81b93d.png
                  (<Figure size 1500x500 with 1 Axes>,
                   <Axes: xlabel='Amplitude [dva]', ylabel='Peak Velocity [dva/s]'>)
                  

                  Saving and loading your dataframes#

                  If we want to save interim results, we can simply use the save() method like this:

                  dataset.save()
                  
                  Dataset
                  • DatasetDefinition
                    DatasetDefinition
                    • None
                      None
                    • None
                      None
                    • None
                      None
                    • None
                      None
                    • Experiment
                      Experiment
                      • EyeTracker
                        EyeTracker
                        • None
                          None
                        • None
                          None
                        • None
                          None
                        • None
                          None
                        • 1000
                          1000
                        • None
                          None
                        • None
                          None
                      • 1000
                        1000
                      • Screen
                        Screen
                        • 68
                          68
                        • 30.2
                          30.2
                        • 1024
                          1024
                        • 'upper left'
                          'upper left'
                        • 38
                          38
                        • 1280
                          1280
                        • 15.599386487782953
                          15.599386487782953
                        • -15.599386487782953
                          -15.599386487782953
                        • 12.508044410882546
                          12.508044410882546
                        • -12.508044410882546
                          -12.508044410882546
                    • None
                      None
                    • dict (1 items)
                      • 'trial_{text_id:d}_{page_id:d}.csv'
                        'trial_{text_id:d}_{page_id:d}.csv'
                    • dict (1 items)
                      • dict (2 items)
                        • <class 'int'>
                          <class 'int'>
                        • <class 'int'>
                          <class 'int'>
                    • True
                      True
                    • 'pymovements Toy Dataset'
                      'pymovements Toy Dataset'
                    • dict (0 items)
                      • 'ToyDataset'
                        'ToyDataset'
                      • None
                        None
                      • None
                        None
                      • list (1 items)
                        • ResourceDefinition
                          • 'gaze'
                            'gaze'
                          • 'pymovements-toy-dataset.zip'
                            'pymovements-toy-dataset.zip'
                          • 'trial_{text_id:d}_{page_id:d}.csv'
                            'trial_{text_id:d}_{page_id:d}.csv'
                          • dict (2 items)
                            • <class 'int'>
                              <class 'int'>
                            • <class 'int'>
                              <class 'int'>
                          • None
                            None
                          • dict (4 items)
                            • 'timestamp'
                              'timestamp'
                            • 'ms'
                              'ms'
                            • (2 more)
                          • '256901852c1c07581d375eef705855d6'
                            '256901852c1c07581d375eef705855d6'
                          • None
                            None
                          • str
                            'https://github.com/pymovements/pymovements-toy-dataset/archive/refs/heads/main.zip'
                      • None
                        None
                      • None
                        None
                      • None
                        None
                      • None
                        None
                    • tuple (1 items)
                      • Events
                        • DataFrame (7 columns, 264 rows)
                          shape: (264, 7)
                          nameonsetoffsetdurationdispersionamplitudepeak_velocity
                          stri64i64i64f64f64f64
                          "fixation"198814519883221770.1549580.11007416.24151
                          "fixation"198835119885461950.2918330.20639718.88542
                          "fixation"198859219887361440.2962970.20954617.690373
                          "fixation"198878819890122240.2718540.19271919.130211
                          "fixation"198904419891701260.3490.30436218.616167
                          "fixation.ivt"200392920040901612.8148512.527788212.117446
                          "fixation.ivt"200409120043632722.8190082.518967244.333244
                          "fixation.ivt"200436420048835192.7680992.46208194.527643
                          "fixation.ivt"200488520051162312.8056742.507902203.067333
                          "fixation.ivt"200511720052981812.7444942.578767329.741947
                        • None
                          None
                    • dict (1 items)
                      • DataFrame (3 columns, 1 rows)
                        shape: (1, 3)
                        text_idpage_idfilepath
                        i64i64str
                        01"pymovements-toy-dataset-main/d…
                    • list (1 items)
                      • Gaze
                        • DataFrame (7 columns, 17223 rows)
                          shape: (17_223, 7)
                          timestimuli_xstimuli_ypixelpositionvelocityacceleration
                          i64f64f64list[f64]list[f64]list[f64]list[f64]
                          1988145-1.0-1.0[206.8, 152.4][-10.697598, -8.852399][1.207641, -3.119165][690.085837, -1501.799767]
                          1988146-1.0-1.0[206.9, 152.1][-10.695183, -8.859678][1.20764, -4.072198][0.001831, -866.371365]
                          1988147-1.0-1.0[207.0, 151.8][-10.692768, -8.866956][1.035119, -4.765267][-575.06741, -57.655244]
                          1988148-1.0-1.0[207.1, 151.7][-10.690352, -8.869381][1.207654, -4.245382][-230.013049, 1328.57081]
                          1988149-1.0-1.0[207.0, 151.5][-10.692768, -8.874233][1.552735, -2.339263][690.12611, 2021.586565]
                          2005363-1.0-1.0[361.0, 415.4][-6.932438, -2.386672][-62.062479, -20.465552][-1099.087619, 1477.17518]
                          2005364-1.0-1.0[358.0, 414.5][-7.006376, -2.408998][-61.343786, -18.073031][1834.348384, 2599.156806]
                          2005365-1.0-1.0[355.8, 413.8][-7.060582, -2.426362][-53.501231, -14.617634][9396.15507, 4547.960553]
                          2005366-1.0-1.0[353.1, 413.2][-7.12709, -2.441245][-41.879965, -10.276475][16194.183852, 5079.286997]
                          2005367-1.0-1.0[351.2, 412.9][-7.173881, -2.448686][-27.710881, -6.112645][16598.914618, 4193.246498]
                        • Events
                          Events
                          • DataFrame (7 columns, 264 rows)
                            shape: (264, 7)
                            nameonsetoffsetdurationdispersionamplitudepeak_velocity
                            stri64i64i64f64f64f64
                            "fixation"198814519883221770.1549580.11007416.24151
                            "fixation"198835119885461950.2918330.20639718.88542
                            "fixation"198859219887361440.2962970.20954617.690373
                            "fixation"198878819890122240.2718540.19271919.130211
                            "fixation"198904419891701260.3490.30436218.616167
                            "fixation.ivt"200392920040901612.8148512.527788212.117446
                            "fixation.ivt"200409120043632722.8190082.518967244.333244
                            "fixation.ivt"200436420048835192.7680992.46208194.527643
                            "fixation.ivt"200488520051162312.8056742.507902203.067333
                            "fixation.ivt"200511720052981812.7444942.578767329.741947
                          • None
                            None
                        • None
                          None
                        • Experiment
                          Experiment
                          • EyeTracker
                            EyeTracker
                            • None
                              None
                            • None
                              None
                            • None
                              None
                            • None
                              None
                            • 1000
                              1000
                            • None
                              None
                            • None
                              None
                          • 1000
                            1000
                          • Screen
                            Screen
                            • 68
                              68
                            • 30.2
                              30.2
                            • 1024
                              1024
                            • 'upper left'
                              'upper left'
                            • 38
                              38
                            • 1280
                              1280
                            • 15.599386487782953
                              15.599386487782953
                            • -15.599386487782953
                              -15.599386487782953
                            • 12.508044410882546
                              12.508044410882546
                            • -12.508044410882546
                              -12.508044410882546
                    • PosixPath('data/ToyDataset')
                      PosixPath('data/ToyDataset')
                    • DatasetPaths
                      DatasetPaths
                      • PosixPath('data/ToyDataset')
                        PosixPath('data/ToyDataset')
                      • PosixPath('data/ToyDataset/downloads')
                        PosixPath('data/ToyDataset/downloads')
                      • PosixPath('data/ToyDataset/events')
                        PosixPath('data/ToyDataset/events')
                      • PosixPath('data/ToyDataset/precomputed_events')
                        PosixPath('data/ToyDataset/precomputed_events')
                      • PosixPath
                        PosixPath('data/ToyDataset/precomputed_reading_measures')
                      • PosixPath('data/ToyDataset/preprocessed')
                        PosixPath('data/ToyDataset/preprocessed')
                      • PosixPath('data/ToyDataset/raw')
                        PosixPath('data/ToyDataset/raw')
                      • PosixPath('data/ToyDataset')
                        PosixPath('data/ToyDataset')
                    • list (0 items)
                      • list (0 items)

                        Let’s test this out by initializing a new PublicDataset object in the same directory and loading in the preprocessed gaze and event data.

                        This time we don’t need to download anything.

                        preprocessed_dataset = pm.Dataset('ToyDataset', path='data/ToyDataset')
                        
                        dataset.load(events=True, preprocessed=True, subset=subset)
                        
                        display(dataset.gaze[0])
                        display(dataset.events[0])
                        
                        Gaze
                        • DataFrame (7 columns, 17223 rows)
                          shape: (17_223, 7)
                          timestimuli_xstimuli_ypixelpositionvelocityacceleration
                          i64f64f64list[f64]list[f64]list[f64]list[f64]
                          1988145-1.0-1.0[206.8, 152.4][-10.697598, -8.852399][1.207641, -3.119165][690.085837, -1501.799767]
                          1988146-1.0-1.0[206.9, 152.1][-10.695183, -8.859678][1.20764, -4.072198][0.001831, -866.371365]
                          1988147-1.0-1.0[207.0, 151.8][-10.692768, -8.866956][1.035119, -4.765267][-575.06741, -57.655244]
                          1988148-1.0-1.0[207.1, 151.7][-10.690352, -8.869381][1.207654, -4.245382][-230.013049, 1328.57081]
                          1988149-1.0-1.0[207.0, 151.5][-10.692768, -8.874233][1.552735, -2.339263][690.12611, 2021.586565]
                          2005363-1.0-1.0[361.0, 415.4][-6.932438, -2.386672][-62.062479, -20.465552][-1099.087619, 1477.17518]
                          2005364-1.0-1.0[358.0, 414.5][-7.006376, -2.408998][-61.343786, -18.073031][1834.348384, 2599.156806]
                          2005365-1.0-1.0[355.8, 413.8][-7.060582, -2.426362][-53.501231, -14.617634][9396.15507, 4547.960553]
                          2005366-1.0-1.0[353.1, 413.2][-7.12709, -2.441245][-41.879965, -10.276475][16194.183852, 5079.286997]
                          2005367-1.0-1.0[351.2, 412.9][-7.173881, -2.448686][-27.710881, -6.112645][16598.914618, 4193.246498]
                        • Events
                          Events
                          • DataFrame (7 columns, 264 rows)
                            shape: (264, 7)
                            nameonsetoffsetdurationdispersionamplitudepeak_velocity
                            stri64i64i64f64f64f64
                            "fixation"198814519883221770.1549580.11007416.24151
                            "fixation"198835119885461950.2918330.20639718.88542
                            "fixation"198859219887361440.2962970.20954617.690373
                            "fixation"198878819890122240.2718540.19271919.130211
                            "fixation"198904419891701260.3490.30436218.616167
                            "fixation.ivt"200392920040901612.8148512.527788212.117446
                            "fixation.ivt"200409120043632722.8190082.518967244.333244
                            "fixation.ivt"200436420048835192.7680992.46208194.527643
                            "fixation.ivt"200488520051162312.8056742.507902203.067333
                            "fixation.ivt"200511720052981812.7444942.578767329.741947
                          • None
                            None
                        • None
                          None
                        • Experiment
                          Experiment
                          • EyeTracker
                            EyeTracker
                            • None
                              None
                            • None
                              None
                            • None
                              None
                            • None
                              None
                            • 1000
                              1000
                            • None
                              None
                            • None
                              None
                          • 1000
                            1000
                          • Screen
                            Screen
                            • 68
                              68
                            • 30.2
                              30.2
                            • 1024
                              1024
                            • 'upper left'
                              'upper left'
                            • 38
                              38
                            • 1280
                              1280
                            • 15.599386487782953
                              15.599386487782953
                            • -15.599386487782953
                              -15.599386487782953
                            • 12.508044410882546
                              12.508044410882546
                            • -12.508044410882546
                              -12.508044410882546
                        Events
                        • DataFrame (7 columns, 264 rows)
                          shape: (264, 7)
                          nameonsetoffsetdurationdispersionamplitudepeak_velocity
                          stri64i64i64f64f64f64
                          "fixation"198814519883221770.1549580.11007416.24151
                          "fixation"198835119885461950.2918330.20639718.88542
                          "fixation"198859219887361440.2962970.20954617.690373
                          "fixation"198878819890122240.2718540.19271919.130211
                          "fixation"198904419891701260.3490.30436218.616167
                          "fixation.ivt"200392920040901612.8148512.527788212.117446
                          "fixation.ivt"200409120043632722.8190082.518967244.333244
                          "fixation.ivt"200436420048835192.7680992.46208194.527643
                          "fixation.ivt"200488520051162312.8056742.507902203.067333
                          "fixation.ivt"200511720052981812.7444942.578767329.741947
                        • None
                          None